Capital Price Management for the Purpose of Making Investment Decisions of the Company
Abstract
Investment and financial decisions represent only two aspects of the same problem, given that the acceptability of investment projects depends primarily on how those projects will be financed. A company cannot count on continuous debt financing if it does not constantly strengthen its share capital, either through the accumulation of net profit or a new issue of ordinary shares. By financing certain projects from the issue of long-term debt, the company draws at the same time a part of its creditworthiness and weakens its chances of engaging in favorable debt in the future. Sooner or later, depending on the volume and intensity of investments, it will have to rely on sources of equity because, otherwise, it will be left without sources of financing.
Article
Uvod
Preduzeću je neophodna opšta ili prosečna cena kapitala kao jedinstveni kriterijum za ocenu efektivnosti investicionih projekata, iako izvesne projekte preduzeće stvarno finansira iz jednih, a neke iz drugih izvora. Ta cena, kao što je poznato, dobija se kao ponderisani prosek cena pojedinačnih izvora finansiranja koji komponuju strukturu kapitala konkretnog preduzeća(Odunayo & Ibidolapo, 2018).
Međutim, da bi se došlo do tako koncipirane prosečne cene kapitana, neophodno je prvo utvrditi cenu svakog pojedinačnog izvora iz kojih će investicioni projekti biti finansirani. S tim u vezi, ispravan je stav da cena sopstvenih izvora nikad ne bi smela biti niža od cene pozajmljenih izvora, a može se utvrditi na više načina(Prdić, 2020): Stopa prinosa na sopstvene izvore koja bi se ostvarila pri ulaganju u neki alternativni projekat; Stopa prinosa na sopstvene izvore koji ostvaruju postojeća preduzeća; Prosečna stopa prinosa koju ostvaruje privredna grana kojoj pripada preduzeće koje investira, odnosno investicioni projekat u koji se namerava ulagati.
Sa stanovišta utvrđivanja cene kapitala preduzeća, kao kriterijuma za donošenje investicionih odluka, istorijski troškovi finansiranja koji proističu iz postojeće strukture kapitala nisu relevantni. Za tu svrhu interesantni su jedino troškovi, odnosno cene dodatnih izvora iz kojih raspoloživi projekti treba da budu finansirani(Ilić & Tasić, 2021). Ovde se radi o utvrđivanju cena novih izvora finansiranja o kojima se u ekonomskoj literaturi govori kao o marginalnim troškovima kapitala. Te cene odnosno troškovi se izražavaju u procentu posle poreza na dobitak, tako da koincidiraju sa neto tokovima gotovine investicionih projekata(Kršikapa- Rašajski & Rankov, 2016) koji su utvrđeni na istoj osnovi - pre amortizacije, ali posle oporezivanja.
Projekcija cene kapitala iz pozajmljenih izvora finansiranja
Cena duga
Cena duga treba da bude jednaka diskontnoj (kamatnoj) stopi koja izjednačava tekuća neto primanja preduzeća iz tog izvora sa sadašnjom vrednošću budućih izdataka na ime kamate i otplate glavnice duga, korigovanoj za očekivani efekat poreza na dobitak da bi se dobila cena duga posle oporezivanja. „Cena duga može se definisati i kao minimalna stopa prinosa koja se mora ostvariti na ulaganja finansirana iz duga da ne bi došlo do sniženja stope prinosa na akcijski kapital“. Rashodi na ime kamate umanjuju poresku osnovicu. Ušteda se ostvaruje samo kada preduzeće posluje sa dobitkom. Ta cena može da bude aproksimirana(Sharif et al., 2015):
ki = i (1 – t);
gde je:
ki – cena duga posle oporezivanja;
i – kamatna stopa pre oporezivanja (interna stopa prinosa); t – stopa poreza na dobitak.
Pošto se troškovi kamate naknadno utvrđuju iz dobitka pre oporezivanja, cena duga posle oporezivanja znatno je manja od cene duga pre oporezivanja.
Prvo ćemo se osvrnuti na cenu kredita, koji predstavljaju jednu od komponenti pozajmljenih izvora finansiranja. Cena kredita predstavlja kamatnu stopu, pri čemu razlikujemo nominalnu i stvarnu kamatnu stopu, realno pozitivnu i realno negativnu kamatnu stopu, relativnu i konformnu kamatnu stopu.
Nominalna kamatna stopa predstavlja ugovorenu stopu, tj. stopu po kojoj se obračunava kamata. Može da bude fiksna ili varijabilna - vezuje se za vladajuću kamatnu stopu na tržištu kapitala u momentu obračuna kamate (Libor, Euribor, Prime Rate) ili za vladajuću stopu inflacije u momentu obračuna kamate.
Stvarna (efektivna) kamatna stopa je viša od nominalne kamatne stope u četiri slučaja.
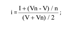
- Kada se kamata obračunava i plaća anticipativno, kamatna stopa se izračunava po sledećoj formuli(Abdulaziz, 2018)

gde je:
Pk - prosečni iznos kamate plaćen u toku otplate kredita;
Pd - prosečno stvarno raspoloživa sredstva po osnovu kredita
2. Kada korisnik kredita kao uslov za dobijanje istog mora da oroči određenu sumu novca;
3. Kada se od korisnika zahteva da do roka otplate na svom računu uvek drži određenu sumu novca;
U drugom i trećem slučaju stvarna kamatna stopa jednaka je(Duy & Phuoc, 2016):

gde je
Pkn – prosečni neto iznos plaćene kamate u toku roka otplate kredita (neto iznos plaćene kamate jednak je razlici između plaćenih kamata po kreditu banci i naplaćenih kamata od banke po osnovu oročenog depozita);
Pdn – prosečni neto dug u toku roka otplate kredita (neto dug jednak je razlici između iznosa kredita i oročenog depozita, odnosno depozita po viđenju).
4. Kada se za obračun kamata u toku godine primenjuje relativna kamatna stopa.
Realno pozitivna kamatna stopa javlja se kada je nominalna, odnosno stvarna stopa viša od stope inflacije. Realno negativna kamatna stopa je u obrnutom slučaju, kada je nominalna, odnosno stvarna kamatna stopa niža od stope inflacije. Realni deo kamatne stope kr izračunava se(Joseph & Michah, 2016):
gde je:
ks – nominalna, odnosno stvarna kamatna stopa izražena u decimalama;
Si – stopa inflacije izražena decimalno.
Relativna kamatna stopa je proporcionalni deo godišnje kamatne stope za obračunski period kamata u toku godine. Primena relativne kamatne stope u toku godine dovodi do toga da stvarna kamatna stopa bude nešto viša od nominalne kamatne stope.
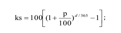
Konformna kamatna stopa je diskontovana godišnja kamatna stopa na obračunski period u toku godine. Primenjuje se kada je godišnja kamatna stopa visoka, jer primena konformne stope dovodi do jednakosti stvarne i nominalne kamatne stope. Dobija se iz sledeće jednačine(Kodithuwakku, 2016):

gde je:
p – nominalna godišnja kamatna stopa;
d – broj dana za koji se računa kamata.
Kada smo objasnili kako se utvrđuje cena kredita, prelazimo na izračunavanje cene preostalog duga, odnosno cene kapitala iz emisije obveznica. Treba napomenuti da se ova cena predstavlja marginalne troškove dodatnog duga. Pri nepromenjenoj stopi poreza na dobitak, cena duga posle oporezivanja zavisi od kamatne stope kao stope prinosa sa stanovišta poverilaca. To je, takođe, minimalna interna stopa prinosa koju preduzeće mora da ostvari na ulaganjima finansiranim iz emisije obveznica, ili bilo kog drugog oblika duga, jer bi u protivnom došlo do smanjenja stope prinosa na sopstveni kapital.
Međutim, sa stanovišta rentabilnosti akcijskog kapitala potrebno je računati i sa efektima poreza na dobitak na cenu duga. Što su pri datom poslovnom dobitku, rashodi preduzeća na ime kamate veći, utoliko su njegove obaveze na ime poreza srazmerno manje. Ovu povlasticu mogu da uživaju samo preduzeća koja posluju rentabilno. Za preduzeća koja posluju sa gubitkom ili na donjoj granici rentabilnosti, stopa poreza na dobitak jednaka je nuli. Cena duga za takva preduzeća jednaka je, iz tog razloga, čistoj kamatnoj stopi. Kod prodaje obveznica uz diskont ili premiju, utvrđivanje cene duga je nešto komplikovanije zbog amortizacije diskonta i premije u svrhe oporezivanja. Metode utvrđivanja cene duga su: metoda aproksimacije i metoda interne stope prinosa.
Metod aproksimacije cene duga koristi se sledećom formulom za izračunavanje tražene kamatne stope pre poreza na dobitak(Mirza et al., 2016):

gde je:
I – godišnji iznos kamate koji plaća preduzeće (nominalna kamatna stopa pomnožena sa nominalnom vrednošću obveznice);
Vn – nominalna vrednost obveznice;
V – tržišna cena obveznice, odnosno novčani priliv koji je
preduzeće ostvarilo na prodaji;
n – broj godina do dospeća obveznice.
Dobijena kamatna stopa nakon toga se koriguje za efekat poreza na dobitak da bi se dobila cena duga posle oporezivanja.
Metoda interne stope prinosa, odnosno tačno utvrđivanje cene duga kod prodaje obveznica uz diskont ili premiju pretpostavlja da se, identično internoj stopi prinosa kod ocene investicionih projekata, pronađe ona kamatna stopa koja sadašnju vrednost budućih izdataka na ime kamate i glavnice duga izjednačava se tekućim primanjima od prodaje obveznica.
Projekcija cene kapitala iz emisije preferencijalnih akcija
Preferencijalne akcije predstavljaju hibridan izvor finansiranja koji nosi karakteristike duga i akcijskog kapitala. Preferencijalne akcije su slične dugu po tome što prouzrokuju preduzeću fiksne periodične izdatke na ime dividende i što povlašćeni akcionari u slučaju likvidacije imaju preče pravo na sredstva u odnosu na obične akcionare. Za razliku od duga, povlašćene dividende ne predstavljaju ugovornu obavezu kao kamata i njihovo neplaćanje ne može da dovede do bankrotstva preduzeća. Zato je za preduzeće finansiranje iz emisije preferencijalnih akcija manje rizično od finansiranja iz emisije običnih akcija, ali rizičnije nego finansiranje iz dugova(Prdić, 2020).
Cena kapitala iz emisije preferencijalnih akcija jeste diskontna stopa, koja izjednačava sadašnju vrednost budućih izdataka na ime preferencijalne dividende (D) sa sadašnjom vrednošću primljene gotovine iz ovog izvora (Pp). Međutim, zbog prisustva troškova posredničke provizije i troškova emisije akcija, neto priliv gotovine od prodaje ovih akcija će biti manji. Kupovina preferencijalnih akcija najčešće predstavlja trajno ulaganje u preduzeće. Stopa prinosa na to ulaganje, koja determiniše cenu kapitala preduzeća iz datog izvora finansiranja, može se utvrditi po formuli:

gde je:
kps – cena kapitala iz emisije preferencijalnih akcija;
Dps – godišnji iznos povlašćene dividende koju plaća preduzeće;
Pps – neto novčana primanja od prodaje preferencijalnih akcija.
Projekcija cene kapitala iz sopstvenih izvora finansiranja
Cena kapitala iz emisije običnih akcija
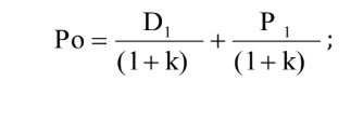
Cena kapitala iz emisije običnih akcija može se definisati kao minimalna stapa prinosa koju preduzeće mora da ostvari na nekom investicionom projektu finansiranom iz akcijskog kapitala da ne bi došlo da pada tržišie cene akcija. Dakle, cenu kapitala iz nove emisije običnih akcija predstavlja tržišna stopa kapitalizacije, odnosno diskontna stopa koja izjednačava sadašnju vrednost ukupne očekivane dividende po akciji sa sadašnjom tržišnom cenom te akcije.
Sadašnja tržišna cena akcija zavisi od nivoa očekivanih dividendi i procenjenog rizika vezanog za mogućnost njihove realizacije u budućnosti(Agbiogwu et al., 2016):

gde je
R0 – sadašnja cena (vrijednost) akcija;
D1 –iznos dividende koju će preduzeće isplatiti krajem na kraju godine;
R1 – cena akcije u trenutku prodaje; k – tržišna stopa kapitalizacije.
Očigledno je sadašnja tržišna cena akcije jednaka kapitalizovanoj vrednosti dividende koju će preduzeće isplatiti, a ulagač ostvariti tokom perioda posedovanja akcije i tržišne cene na dan njene prodaje. Ta cena je jednaka sadašnjoj tržišnoj ceni akcije uvećanoj za kapitalni dobitak, odnosno umanjenoj za kapitalni gubitak koji se ostvaruje na prodaji akcije(Ilić, 2019). Računanje sa kapitalnim dobitkom implicitno predstavlja određeni rast neto dobitka i dividende po akciji, koji dovodi i do povećanja tržišne vrednosti akcije. Stopa kapitalizacije ili prinosna stopa na obične akcije jednaka je zbiru dividendne stope i stope povećanja tržišne vrednosti akcije(Jovićević i dr., 2019):

Pošto je očekivana dividenda krajem godine u prethodno datoj jednačini obeležena sa D1, a tekuća tržišna cena akcije sa R0, stopa rasta tržišne cene može se označiti sa g. U tom slučaju dolazi se do opšte konstatacije da je stopa kapitalizacije po kojoj tržište kapitala procenjuje obične akcije jednaka zbiru tekuće dividendne stope i očekivane stope rasta cene akcije: k = (D1 / R0) + g .
U opštem modelu tržišne valorizacije običnih akcija iznos dividende nije precizno definisan: on može da bude konstantan, da raste, da opada, ili da fluktuira naizmenično. Stoga je potrebno proceniti specifičnost vremenskog toka prinosa od dividende. Za preduzeće koje normalno raste i razvija se, što se finansijski izražava putem konstantnog povećanja neto dobitka i dividende po emitovanoj akciji, očekivani vremenski tok dividende može se predstaviti kao(Attig et al., 2013):
Dt = D0 / (1+ g)t ;
gde D0 predstavlja sadašnji iznos dividende, a g očekivanu stopu njenog rasta u budućnosti. Shodno takvom očekivanju prinosa od dividende, opšti model za tržišnu valorizaciju običnih akcija bi se mogao prevesti na formulu:

koja se u slučaju kada je u dugom roku k > g može skratiti na izraz:
R0 = D1 / (k - g);
Gde je:
D1 –očekivana dividenda krajem perioda;
k – tržišna stopa kapitalizacije, odnosno stopa prinosa koju
zahtevaju potencijalni kupci akcije;
g – očekivana stopa rasta neto dobitka i dividende po akciji.
Ova jednačina za valorizaciju akcija sa konstantnim rastom dividende po akciji je primenljiva i kada je prinos od dividende iz godine u godinu konstantan, odnosno kada je stopa rasta dividende jednaka nuli. Kod preduzeća koja doživljavaju periode rasta ili periode opadanja privredne aktivnosti i rezultata privređivanja, očekivani neto dobitak i dividenda po akciji imaju po pravilu diskontinuelan tok, zbog čega je utvrćivanje tržišne vrednosti njihovih akcija znatno otežano.
Iz prethodne formule lako je utvrditi očekivanu stopu prinosa potencijalnih ulagača (k), koja sa stanovišta preduzeća predstavlja cenu kapitala iz tog izvora(Corporate Finance Insitute, 2021):
ke = (D1 / R0) + g.
Cena akumuliranog dobitka
Za mnoga preduzeća značajan procenat dugoročnih izvora za finansiranje perspektivnih ulaganja u investicione projekte potiče iz akumululiranog neto dobitka. Taj deo neto dobitka ne može se smatrati besplatnim izvorom finansijskih sredstava zbog prisutnih oportunitetnih troškova finansiranja. Nivo tih troškova određen je dividendom koju su akcionari žrtvovali jer srazmeran deo neto dobitka nije raspodeljen, nego zadržan u poslu. U odsustvu poreza na ukupan prihod građana, minimalna cena kapitala iz akumuliranog dobitka jednaka je, zbog toga, traženoj stopi prinosa na eksterne izvore sopstvenog kapitala pre troškova emisije i flotacije emitovanih akcija (Vukša i dr., 2020):
ke = (D1 / P0) + g.
Tržišna cena akcija ostaće nepromenjena ako se na uloženi akumulirani dobitak ostvari stopa prinosa koja odgovara ceni akcijskog kapitala. U skladu s tim, ukoliko preduzeće nije u stanju da akumulirani dobitak uloži u projekte koji obezbeđuju takvu stopu prinosa, ono bi trebalo da ga raspodeli akcionarima u vidu dividende, da ga oni samostalno plasiraju shodno svojim preferencijama prema riziku i prinosu. Ukoliko preduzeće dobitak ipak akumulira i interno investira uz nižu stopu od koje, umesto da ga raspodeli, najverovatnije će doći do pada tržišne cene njegovih akcija.
Cena sredstava amortizacije
Jedan od najznačajnijih izvora sopstvenog kapitala koji se koristi za finansiranje investicionih ulaganja predstavljaju sredstva koja potiču iz periodičnih otpisa fiksne imovine na ime amortizacije. Zapravo, u periodičnim izveštajima o tokovima finansijskih sredstava koje publikuju velike korporacije, troškovi amortizacije zauzimaju izuzetno važno mesto među izvorima samofinansiranja.
Zbog specifične prirode toga izvora, već dugo je prisutna dilema da li se taj kapital može smatrati besplatnim u ekonomskom smislu ili mu treba odrediti neku cenu? Ta dilema potiče iz saznanja da sredstva amortizacije nemaju svoje oficijelno pokriće u posebnoj poziciji pasive, kao samostalnom izvoru finansiranja u bilansu stanja. Međutim, jednako kao i akumulirani dobitak, sredstva amortizacije imaju svoje oportunitetne troškove. Troškovi amortizacije predstavljaju, kao što je već prethodno rečeno, transformaciju fiksnih u obrtna sredstva. Ovo povećanje obrtnih sredstava ne bi trebalo da bude upotrebljeno za finansiranje investicionih ulaganja ako odnosni projekti ne zadovoljavaju minimalni finansijski standard efektivnosti. Taj minimalni standard efektivnosti treba da bude jednak prosečnoj ceni kapitala preduzeća s obzirom da ta cena predstavlja oportunitetni trošak sredstava amortizacije(Cvjetković i dr., 2021).
Opravdanost takvog zaključka počiva na pretpostavci da preduzeće može da sredstva pribavljena iz amortizacije raspodeli vlasnicima i poveriocima, odnosno onima koji su finansirali fiksna sredstva iz kojih amortizacija potiče. Raspodela ima smisla jedino kada sredstva ne mogu da budu reinvestirana tako da obezbede internu stopu prinosa koja je bar jednaka prosečnoj ceni kapitala preduzeća. Pošto cena sredstava amortizacije treba da bude jednaka prosečnoj ceni kapitala, amortizacija kao izvor finansiranja može da bude zanemarena prilikom utvrđivanja cene kapitala preduzeća. Dakle, amortizaciju ne treba tretirati kao samostalan izvor finansiranja sa stanovišta kalkulacije prosečne cene kapitala.
Prosečna cena kapitala
Pošto su utvrđene cene pojedinih komponenti u strukturi kapitala, potrebno ih je ponderisati prema izvesnom kriterijumu da bi se dobila ponderisana prosečna cena kapitala za preduzeće kao celinu. Obračunavanje te cene interesantno je sa dva stanovišta. Prvo, kapital je redak faktor čije racionalno korišćenje pretpostavlja da se njegovi troškovi, odnosno cena mogu meriti i kontrolisati, i drugo, ta cena služi kao minimalni finansijski standard za ocenu efikasnosti investicionih projekata. Oba ova aspekta odnose se na cenu novog kapitala koji će tek biti pribavljen u budućnosti, a ne na cenu postojećeg kapitala kojim preduzeće već raspolaže(Miletić i dr., 2021).
Taj dodatni kapital ima svoju prosečnu i marginalnu cenu. Prosečna cena identifikuje prosečne troškove finansiranja iz pojedinih izvora koji se mogu minimizirati adekvatnim planiranjem strukture kapitala. Smatra se da prosečna cena kapitala ostaje konstantna sve dok akumulirani dobitak kao interni izvor sopstvenog kapitala, kao i mogućnosti angažovanja novog duga i dodatnog kapitala iz emisije preferencijalnih akcija nisu iscrpljene(Zimonjić i dr., 2018). Posle toga preduzeće mora da pređe na finansiranje iz nove emisije običnih akcija, kao eksternog izvora sopstvenog kapitala, koji je skuplji od akumuliranog dobitka, usled čega i prosečna cena kapitala počinje da raste zbog još intenzivnijeg rasta marginalnih troškova kapitala.
Poseban problem utvrđivanja prosečne i marginalne cene dodatnog kapitala predstavlja izbor objektivnog sistema ponderisanja. Postavlja se pitanje kako ponderi za različite izvore dodatnog kapitala treba da budu određeni? Da li ti ponderi treba da odražavaju postojeću strukturu kapitala ili da se zasnivaju na optimalnoj strukturi? Zbog teškoća koje su prisutne kod merenja i izražavanja optimalne strukture kapitala, najčešće se uzima da ponderi koji anticipiraju postojeću strukturu kapitala mogu da zadovolje, ako ta struktura nije poremećena.
Zaključak
Videli smo da cena duga treba da bude jednaka diskontnoj (kamatnoj) stopi koja izjednačava tekuća neto primanja preduzeća iz tog izvora sa sadašnjom vrednošću budućih izdataka na ime kamate i otplate glavnice duga, korigovanoj za očekivani efekat poreza na dobitak da bi se dobila cena duga posle oporezivanja.
„Cena duga može se definisati i kao minimalna stopa prinosa koja se mora ostvariti na ulaganja finansirana iz duga da ne bi došlo do sniženja stope prinosa na akcijski kapital. Rashodi na ime kamate umanjuju poresku osnovicu. Ušteda se ostvaruje samo kada preduzeće posluje sa dobitkom.
Preferencijalne akcije predstavljaju hibridan izvor finansiranja koji nosi karakteristike duga i akcijskog kapitala. Preferencijalne akcije su slične dugu po tome što prouzrokuju preduzeću fiksne periodične izdatke na ime dividende i što povlašćeni akcionari u slučaju likvidacije imaju preče pravo na sredstva u odnosu na obične akcionare. Za razliku od duga, povlašćene dividende ne predstavljaju ugovornu obavezu kao kamata i njihovo neplaćanje ne može da dovede do bankrotstva preduzeća. Zato je za preduzeće finansiranje iz emisije preferencijalnih akcija manje rizično od finansiranja iz emisije običnih akcija, ali rizičnije nego finansiranje iz dugova.
Videli smo da cena kapitala iz emisije običnih akcija može se definisati kao minimalna stapa prinosa koju preduzeće mora da ostvari na nekom investicionom projektu finansiranom iz akcijskog kapitala da ne bi došlo da pada tržišie cene akcija. Dakle, cenu kapitala iz nove emisije običnih akcija predstavlja tržišna stopa kapitalizacije, odnosno diskontna stopa koja izjednačava sadašnju vrednost ukupne očekivane dividende po akciji sa sadašnjom tržišnom cenom te akcije.
Dakle, za mnoga preduzeća značajan procenat dugoročnih izvora za finansiranje perspektivnih ulaganja u investicione projekte potiče iz akumululiranog neto dobitka. Taj deo neto dobitka ne može se smatrati besplatnim izvorom finansijskih sredstava zbog prisutnih oportunitetnih troškova finansiranja. Nivo tih troškova određen je dividendom koju su akcionari žrtvovali jer srazmeran deo neto dobitka nije raspodeljen, nego zadržan u poslu
I kao jedan od najznačajnijih izvora sopstvenog kapitala koji se koristi za finansiranje investicionih ulaganja predstavljaju sredstva koja potiču iz periodičnih otpisa fiksne imovine na ime amortizacije. Zapravo, u periodičnim izveštajima o tokovima finansijskih sredstava koje publikuju velike korporacije, troškovi amortizacije zauzimaju izuzetno važno mesto među izvorima samofinansiranja. Troškovi amortizacije predstavljaju, kao što je već prethodno rečeno, transformaciju fiksnih u obrtna sredstva.
I na kraju pošto su utvrđene cene pojedinih komponenti u strukturi kapitala, potrebno ih je ponderisati prema izvesnom kriterijumu da
bi se dobila ponderisana prosečna cena kapitala za preduzeće kao celinu. Obračunavanje te cene interesantno je sa dva stanovišta. Prvo, kapital je redak faktor čije racionalno korišćenje pretpostavlja da se njegovi troškovi, odnosno cena mogu meriti i kontrolisati, i drugo, ta cena služi kao minimalni finansijski standard za ocenu efikasnosti investicionih projekata. Oba ova aspekta odnose se na cenu novog kapitala koji će tek biti pribavljen u budućnosti, a ne na cenu postojećeg kapitala kojim preduzeće već raspolaže.
References
2. Agbiogwu, A. A., Ihendinihu, J. U., & Okafor, M. C. (2016). Impact of environmental and social costs on performance of Nigerian manufacturing companies, International Journal of Economics and Finance, 8(9), 173-180. doi:10.5539/ijef. v8n9p
3. Attig, N., El Ghoul, S., Guedhami, O., & Suh, J. (2013). Corporate social responsibility and credit ratings. Journal of business ethics, 117(4), 679-694. doi:10.1007/s10551-013-
1714-2
4. Corporate Finance Insitute. (2021). Cost of Equity Formula. Retrieved January 15, 2021, from https:// corporatefinanceinstitute.com/resources/knowledge/ finance/cost-of-equity-guide/
5. Cvjetković, M., Cvjetković, M., Jovanović, Z., & Kalinić, M. (2021). Aktivnosti i karakteristike menadžera u funkciji unapređenja strategijskog delovanja preduzeća. Oditor, 7(1), 7-35. https://doi.org/10.5937/Oditor2101007C
6. Duy, N. T., & Phuoc, N. P. H. (2016). The Relationship between Firm Sizes and Stock Returns of Service Sector in Ho Chi Minh City Stock Exchange. Review of European Studies, 8(4), 210-219. http://dx.doi.org/10.5539/res.v8n4p210
7. Ilić, B. (2019). Cena zemlje kao faktor održivog razvoja. Održivi
razvoj, 1(2), 7-16. https://doi.org/10.5937/OdrRaz1902007I
8. Ilić, B., & Tasić, S. (2021). Kvantitativna analiza uloge proizvodnje u stvaranju vrednosti. Održivi razvoj, 3(1), 17-33. https://doi.org/10.5937/OdrRaz2101017I
9. Jovićević, P., Andžić, S., & Koprivica, A. (2019). Forme i formalnosti kod hartija od vrednosti. Vojno delo, 71(7), 383- 393. https://doi.org/10.5937/vojdelo1907383J
10. Joseph, U. M., & Michah, C. O. (2016). Impact of corporate social responsibility on financial performance: Evidence from listed banks in Nigeria. Expert Journal of Finance, 4, 1-9
11. Kodithuwakku, S.(2016). Impact of Firm Specific Factors on the Stock Prices: A Case Study on Listed Manufacturing Companies in Colombo Stock Exchange, International Journal for Research in Business, Management and Accounting, 2 (3), 67-76.
12. Kršikapa-Rašajski, J., & Rankov, S. G. (2016). Testiranje slabe forme efikasnosti na tržištu kapitala u Srbiji. Megatrend revija, 13(1), 265-278. https://doi.org/10.5937/MegRev1601265K
13. Miletić, A., Trajković, S., & Mrdak, G. (2021). Uticaj strateškog opredeljenja na odnos između upravljanja inovacionim portfoliom i uspeha. Oditor, 7(1), 165-194.
https://doi.org/10.5937/Oditor2101165M
14. Mirza, N., Rahat, B.,& Reddy, K.(2016). Financial leverage and stock returns: evidence from an emerging economy. Economic ResearchEkonomskaIstraživanja,29(1),85-100. doi: 10.1080/1331677X.2016.1160792
15. Odunayo, F. O., & Ibidolapo, E. A. (2018). Corporate social responsibility on the performance of private telecommunication in Nigeria. Canadian Social Science, 14(8), 45-54. doi:10.3968/10511
16. Prdić, N. (2020). Marketing u funkciji investicija u berze. Kultura polisa, 17(43), 553-567
17. Prdić, N. (2020). Marketing u funkciji razvoja aukcijske trgovine. Kultura polisa, 17(42), 643-653
18. Sharif, T., Purohit, H., & Pillai, R. (2015). Analysis of Factors Affecting Share Prices: The Case of Bahrain Stock Exchange, International Journal of Economics and Finance, 7, (3), 207-216. http://dx.doi.org/10.5539/ijef.v7n3p207
19. Vukša, S., Anđelić, D., & Milojević, I. (2020). Analiza kao osnova održivosti poslovanja. Održivi razvoj, 2(1), 53-72. https://doi.org/10.5937/OdrRaz2001053V
20. Zimonjić, S., Gavrilović, M., & Roganović, M. (2018). Metode procene vrednosti akcija i kreiranje vrednosti za akcionare. Trendovi u poslovanju, 6(1), 39-49. https://doi.org/10.5937/TrendPos1801039Z
Published in
Vol. 27, No. 1, 2021.
Keywords
Licence
This work is published under the Creative Commons Attribution 4.0 International (CC BY 4.0).
Authors retain copyright over their work.
Use, distribution, and adaptation of the work, including commercial use, is permitted with clear attribution to the original author and source.
Interested in Similar Research?
Browse All Articles and Journals